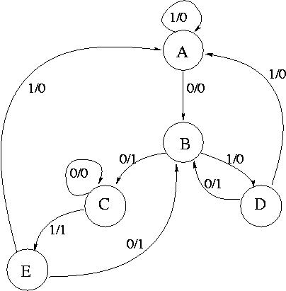
Descriviamo l'automa a stati finiti che realizza la funzionalita' descritta nell'esercizio.
Insieme degli stati di ingresso: {0,1}
Insieme degli stati di uscita: {0,1}


Il diagramma degli stati sara' il seguente, ricavando il quale determiniamo che l'insieme degli stati interni e {A,B,C,D}


Possiamo ora costruire la tabella di flusso e la tabella a gradini per minimizzare l'automa. Il procedimento di minimizzazione termina alla seconda iterazione, mostrando che l'automa descritto e' minimo.